Numerations and operations
Algebra and Functions
Plane Shapes and Measurement
Coordinate Systems
Solid Shapes
Trigonometry
Data Analysis, Statistics and Probability
Practice Tests

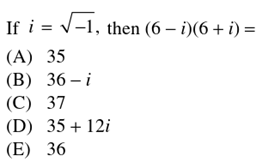
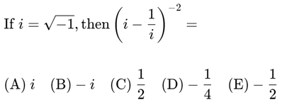
Complex Numbers